
直流电路,下图分别列出了电压、电流、功率、电阻之间相互换算关系
功率包括电功率、机械功率。电功率又包括直流电功率、交流电功率和射频功率;交流功率又包括正弦电路功率和非正弦电路功率;机械功率又包括线位移功率和角位移功率,角位移功率常见于电机输出功率;电功率还可分为瞬时功率、平均功率(有功功率)、无功功率、视在功率。在电学中,不加特殊声明时,功率均值有功功率。在非正弦电路中,无功功率又可分为位移无功功率,畸变无功功率,两者的方和根称为广义无功功率。
本文列出了上述所有功率计算公式,文中p(t)指瞬时功率。u(t)、i(t)指瞬时电压和瞬时电流。U、I指电压、电流有效值,P指平均功率。
1、普遍适用的功率计算公式
在电学中,下述瞬时功率计算公式普遍适用
p(t)=u(t)i(t) (1)
在力学中,下述瞬时功率计算公式普遍适用
p(t)=F(t)v(t) (2)
在电学和力学中,下述平均功率计算公式普遍适用
P=W/T (3)
W为时间T内做的功。
在电学中,上述平均功率P也称有功功率,P=W/T作为有功功率计算公式普遍适用。
在电学中,公式(3)还可用下述积分方式表示

有功功率计算公式(4)
其中,T为周期交流电信号的周期、或直流电的任意一段时间、或非周期交流电的任意一段时间。电学中,公式(3)和(4)的物理意义完全相同。
电学中,下述视在功率计算公式普遍适用:
S=UI
2、直流电功率计算公式
P=UI
P=U2/R
P=I2R
3、正弦交流电功率计算公式
无功功率计算公式:
Q=UIsinφ
有功功率计算公式:
P=UIcosφ
正弦电流电路中的有功功率、无功功率、和视在功率三者之间是一个直角三角形的关系:
P2+Q2=S2
当负载为纯电阻时:
Q=0,S=P
直流电功率计算公式同样适用。
4、非正弦交流电功率计算公式
非正弦交流电功率计算公式采用普适公式(3)或(4)
对于周期非正弦交流电,将周期交变电压电流按照傅里叶级数展开,有功功率计算公式还可表示为:

有功功率计算公式
在非正弦电路中,有功功率和视在功率的定义不变,然而,此时,电压、电流相位差已经没有明确的物理意义,此时,Q按照下述公式定义:

位移无功功率计算公式
式中,Un、In为n次谐波的有效值,当n=1时,U1、I1称为基波有效值。
然而,此时,
S2≠P2+Q2
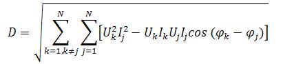
为此,引入畸变无功功率D,使下式成立:
S2=P2+Q2+D2
由于Q与基波及谐波电压、电流的相位角相关,称为位移无功功率。畸变无功功率计算公式如下:

畸变无功功率计算公式
畸变无功功率有时也称畸变功率,上式中,N为电压、电流最大谐波次数中的小者。某些文献中也将Q称为无功功率,而将Q和D的方和根称为广义无功功率。
5、射频功率计算公式
射频功率属于交流电功率,理论上具有与交流电功率相同的计算公式,但是,实际上在超高频和微波频段,有TEM波和非TEM波之分。在TEM波的同轴系统中,电压和电流虽有确切含意,但测量其绝对值很困难。在波导系统中,因为存在不同的电磁模式,电压和电流失去唯一性。在个频段和各传输系统中,功率是单值表征信号强度的重要方法。在射频范围直接测量功率代替了电压和电流的测量。
6、三相功率计算公式
三相功率计算公式(有功功率)可以采用三个单相独立测量再求和的方式进行计算。
P=PA+PB+PC
对于三相三线制电路,也可采用二瓦计法,三相功率计算公式为:
P=PAB+PCB或P=PCA+PBA或P=PBC+PAC
对于正弦三相对称电路,
P=√3UIcosφ;U、I为线电压、线电流有效值。
或
P=3UPIPcosφ;UP、IP为相电压、相电流有效值。
7、电机功率计算公式
电机功率计算公式,也称电机轴功率计算公式如下:
P=FV (5)
F:力,单位为N;V:速度,单位为m/s;P:功率,单位为W
T=FR
F=T/R (6)
T:扭矩,单位为N.m;R:作用半径,单位为m
V=2πRn/60=πR*n/30 (7)
V:线速度,单位为m/s;n:转速,单位为r/min
将(6)、(7)代入(5)
P=πTn/30
若将P的单位变为kW,得到下述电机功率计算公式:
P=πTn/30000=Tn/9549
或
T=9549P/n
电功率,物理学名词,电流在单位时间内做的功叫做电功率。是用来表示消耗电能的快慢的物理量,用P表示,它的单位是瓦特(Watt),简称"瓦",符号是W。
作为表示电流做功快慢的物理量,一个用电器功率的大小数值上等于它在1秒内所消耗的电能。如果在"t"(SI单位为s)这么长的时间内消耗的电能“W”(SI单位为J),那么这个用电器的电功率[1]就是P=W/t(定义式)电功率等于导体两端电压与通过导体电流的乘积。
(P=U·I)。对于纯电阻电路,计算电功率还可以用公式P=I^2*R和P=U^2/R。
每个用电器都有一个正常工作的电压值叫额定电压,用电器在额定电压下正常工作的功率叫做额定功率,用电器在实际电压下工作的功率叫做实际功率。
以上是关于《功率的计算公式》的相关内容,想了解更多电工资讯内容,请持续关注《四川电工考试网》。也可点击下方我要报名或填写下方报名咨询表单即可得到专业老师在线解答和报考服务哦~
